Walter Schottky Institute
Center for Nanotechnology and Nanomaterials

Welcome to the Stutzmann group
Group leader: Prof. Dr. Martin Stutzmann


Home Photovoltaics Laser Processing Surface Functionalization



Surface Functionalization at the WSI


Biofunctionalization of silicon surfaces by Hydrosilylation

Stutzmann 15
Stable, densely packed organic monolayers covalently bonded directly to silicon surfaces currently receive significant interest in the field of biosensor applications, e.g. in biochemistry and biophysics, as they in principle allow the detection and utilization of charge transport across the silicon/organic interface. Preparation of such surfaces can be performed by hydrosilylation of H-terminated silicon with alkenes or alkynes. Beside crystalline silicon we try to use hydrogenated amorphous and microcrystalline silicon as a substrate material.

Hydrogenated amorphous silicon as an easily producible, large area electronic material is currently used for a variety of different applications, such as displays and solar cells. Organic surface modification of a-Si:H could therefore be an important issue for the fabrication of cheap biosensors in silicon technology.



Biofunctionalization of diamond surfaces

The diamond surface shows a unique property when it is hydrogen-terminated: surface conductivity, which makes it interesting for electronics, especially biosensors. Consisting of only carbon, diamond is a perfect biocompatible material.

Diamond surfaces are being functionalized for novel biosensor applications. Starting from the H-terminated surface a molecule (TFA-amine) with a protected amine group at the end is attached to the surface by a photochemical process. The success of this first step can be controlled by the use of XPS, trying to detect the fluorine (F1s) and nitrogen (N1s) peaks (see inset of fig.2). The next step is the deprotection of the amine group, making it reactive to the crosslinker which is attached in a further step. The deprotection can be monitored again by XPS controlling the nitrogen peak, while the fluorine peak disappeared. The final step is the attachment of an enzyme or a protein, or any other biomolecule (see fig. 2), for example the Green Fluorescent Protein (GFP). The coverage on a patterned surface can in this case be controlled optically with a fluorescence microscope (see fig.3).

Stutzmann 16
Figure 2: Schematic of the photochemical attachment of the TFA-amine, deprotection, crosslinker attachment and enzyme or protein binding. Inset: XPS fluorine peak of the diamond surface photochemically treated with TFA-amine.

Stutzmann 17
Figure 3: Fluorescence microscope image of the diamond surface with the GFP attached; the dots were oxidized before the functionalization, so no anchors could bind there and therefore no fluorescent proteins could attach, they appear dark.


Biofunctionalization of gallium nitride surfaces by silanisation

Self-assembled monolayers based on silanes can act as biocompatible and functional interlayers between oxidic solid surfaces and biomaterials. Monolayers of for example alkylsilane render the surface hydrophobic and allow the later deposition of polymer cushions for supported lipid membranes by Langmuir-Blodgett techniques. Aminosilane monolayers enable the imobilization of proteins by binding to the amino group via aldehyde agents.

Covalently coupled silane monolayers can be preparated by a self assemble process form organic solutions like toluene or chloroform if the surface is oxidic and provides hydroxyl groups. GaN surfaces fulfill this requirements after a thermal or chemical oxidation process and silane molecules from the ambient solution can form a covalnet siloxyl bond accompanied by the disposal of their head groups to the solution. Silanes with different active side groups, chains and chain length can be used for this surface functionalization.


Stutzmann 18
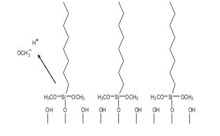
Figure 4: Structure of different silane molecules for silanisation.
Stutzmann 19
Figure 5: Covalent binding of Octyltrimethoxysilane to a oxidized GaN surface.



New Publications
See list of recent publications

Contact
Prof. Dr. Martin Stutzmann








Walter Schottky Institut About the Institute Research

Technische Universität München Annual Reports Photonics & Optoelectronics
Am Coulombwall 4 Events and News Quantum Technologies
D-85748 Garching History of WSI Energy Materials
Germany How to get to WSI Engineered Nanomaterials
Scientific Background Functional Interfaces
Tel: +49-(0)89-289-12761 Seminars Nanofabrication
Fax: +49-(0)89-289-12737 The WSI in Numbers

Partners Publications
(c) 2018 Walter Schottky Institut WSI Association

Intranet





Walter Schottky Institut Navigation

Technische Universität München Contact
Am Coulombwall 4 Groups
D-85748 Garching Institute
Germany Partners
Publications
Tel: +49-(0)89-289-12761 Research
Fax: +49-(0)89-289-12737 Groups
Intranet
(c) 2018 Walter Schottky Institut